GIÓ TĨNH, GIÓ XUNG & GIÓ ĐỘNG
GIÓ TĨNH, GIÓ XUNG & GIÓ ĐỘNG
1- Vấn đề về gió:
Trong các Thuyết minh tính toán thiết kế kết cấu công trình dân dụng được áp dụng theo Tiêu chuẩn Việt Nam TCVN 2737:1995 - Tải trọng và tác động - Tiêu chuẩn thiết kế, tải trọng gió thường được thực hiện như sau:
- Khi chiều cao công trình < 40 m / hoặc tần số dao động cơ bản f1 ≥ tần số dao động riêng giới hạn fL → Tải trọng gió là tải trọng gió tĩnh
- Khi chiều cao công trình < 40 m / và tần số f1 < tần số fL → Tải trọng gió bao gồm tải trọng gió tĩnh và gió động, trong đó gió động chỉ tính thành phần động do lực quán tính
Tải trọng gió được phân tích trong TCVN 2737:1995 được xây dựng dựa trên các mô hình lý thuyết có kết hợp với các hệ số thực nghiệm. Do vậy các thành phần của lực gió phải được xét áp dụng một cách phù hợp mà thực tế đã bị bỏ qua trong các Thuyết minh tính toán kết cấu.
Bài viết sau đây nhằm diễn giải chi tiết về quy trình tính tải trọng gió tác dụng lên các công trình dân dụng.
2- Tóm tắt cơ sở lý luận về tải trọng gió theo Tiêu chuẩn Việt Nam:
Tải trọng gió được tính toán tuân theo các tiêu chuẩn TCVN:
- TCVN 2737:1995 - Tải trọng và tác động - Tiêu chuẩn thiết kế
- Tiêu chuẩn xây dựng TCXD 229:1999 – Chỉ dẫn tính toán thành phần động của tải trọng gió theo TCVN 2737:1995
2.1 Các lưu ý quan trọng về các thuật ngữ được sử dụng trong TCVN
Các tiêu chuẩn trên được soạn thảo dựa trên các tiêu chuẩn Liên xô (cũ) nên các thuật ngữ sử dụng trong bài viết viết này chủ yếu dựa trên thuật ngữ trong Tiêu chuẩn Việt Nam và các bài báo bằng Tiếng Anh trong các báo cáo nghiên cứu từ nước Nga / Liên xô (cũ)
• Thành phần gió tĩnh: thành phần giá trị tải trọng gió không đổi theo thời gian tác dụng, phụ thuộc theo chiều cao
(Thuật ngữ tiếng Anh trong TCVN: static wind load)
(Thuật ngữ trong các tài liệu các nước: static / basic / mean / average… wind load)
• Thành phần gió xung: thành phần giá trị tải trọng gió thay đổi theo thời gian, tùy thuộc chiều cao, kích thước, hình dạng và bề mặt công trình…
(Thuật ngữ tiếng Anh trong TCVN: pulse wind load)
(Thuật ngữ trong các tài liệu các nước: turbulent / gust … wind load. Riêng thuật ngữ ‘pulse’ rất khó / hiếm gặp trong tài liệu khoa học các nước)
• Thành phần gió động: thành phần giá trị tải trọng gió do lực quán tính của bản thân công trình. Lực quán tính chỉ xuất hiện khi có sự cộng hưởng dao động giữa gió xung và tần số dao động của công trình đang xét.
(Thuật ngữ tiếng Anh trong TCVN: dynamic wind load)
(Thuật ngữ trong các tài liệu các nước: dynamic / fluctuating … wind load)
Thành phần gió tĩnh còn phụ thuộc nhiều yếu tố khác như vùng gió, địa hình, địa mạo… khu vực xây dựng. Thành phần gió xung còn phụ thuộc nhiều vào vận tốc gió, vị trí tác động của gió trên bề mặt công trình… Tuy nhiên, tải trọng gió được xác lập theo TCVN được căn cứ theo áp lực gió thay vì theo vận tốc gió như các nước khác nên làm giảm đi ý nghĩa khoa học của công thức cũng như lý luận tính toán. Do đó trong phạm vi bài viết này, tác giả chỉ cố gắng trình bày ý nghĩa chính của các thành phần gió.
Việc giải thích các thuật ngữ nhằm khẳng định cơ sở lý luận khoa học cho việc xác lập tải trọng gió là duy nhất và thống nhất chung của các quốc gia.
2.2 Cơ sở lý luận khoa học khi phân tích tải trọng gió được áp dụng trong TCVN
Tải trọng gió tác dụng P(t) lên công trình
Trong đó,
Po : tải trọng gió tĩnh, là hằng số, không thay đổi theo thời gian t
Pp(t) : tải trọng gió xung (turbulence wind load), là hàm số có các giá trị thay đổi theo thời gian t, được giả thiết như là tập hợp các hàm số có giá trị lực và các tần số (chu kỳ) dao động độc lập.
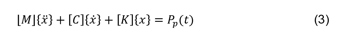
Đáp ứng của công trình dưới tác dụng của tải trọng gió là nghiệm của phương trình vi phân bậc 2
Khi thành phần gió xung thỏa mãn điều kiện cộng hưởng, thành phần động của tải trọng gió (do quán tính) được xác lập dựa trên phương trình
Phương trình (3) được giải bằng phương pháp mô hình hàm dạng (modal analyses / mode shapes), công thức kết quả tính được trình bày chi tiết trong TCXD 229:1999
Ý nghĩa vật lý: phương trình (2) phản ánh tải trọng gió luôn bao gồm 2 thành phần tĩnh và xung (gió rối - turbulence wind load); trong khi phương trình (3) phản ánh thành phần động do khối lượng quán tính của công trình được xác lập từ thành phần xung.
Tổng kết,
• Công trình luôn chịu tác động của gió tĩnh & gió xung. Khi công trình đủ thấp, vận tốc gió rối (turbulence velocity – TCVN: xung vận tốc gió) đủ bé để bỏ qua. Khi đó, tải trọng gió tác động lên công trình chỉ cần tính thành phần gió tĩnh.
• Khi công trình đủ cao, vận tốc gió rối đủ lớn nên bắt buộc phải kể đến trong tính toán. Khi đó, tải trọng gió tác động lên công trình phải tính bao gồm thành phần gió tĩnh + thành phần gió xung. Mặc dù công trình đủ cao, nhưng độ cứng của công trình vẫn đủ lớn (thể hiện qua tần số dao động cơ bản f1 lớn), hiện tượng cộng hưởng do lực gió không xảy ra, do vậy tác động gió lên công trình chỉ xét là tổng của 2 thành phần gió tĩnh + gió xung.
• Khi vận tốc gió rối đủ lớn, công trình đủ cao, độ cứng công trình là đủ mềm dẻo (flexible), kết cấu xảy ra hiện tượng cộng hưởng, tải trọng gió xung chuyển đổi thành lực quán tính. Do vậy tác động gió bao gồm tổ hợp tác động gió tĩnh và gió động.
2.3 Các phương pháp và công thức tính tải trọng gió theo TCVN
Công thức tính thành phần gió tĩnh: Áp lực gió tĩnh tính (công thức 4.11 – TCXD 229:1999)
![]()
Wo : áp lực gió tiêu chuẩn
k(zj) : hệ số phụ thuộc độ cao
c : hệ số khí động
Công thức tính thành phần gió xung: Áp lực gió xung tính (công thức 4.1 – TCXD 229:1999)
![]()
ζj : hệ số áp lực động, ở độ cao ứng với phần j
ν : hệ số tương quan không gian
Nhận xét: Áp lực gió xung là hàm phụ thuộc áp lực gió tĩnh. Các hệ số áp lực động và hệ số tương quan không gian luôn có giá trị < 1. Điều này có nghĩa áp lực gió xung luôn < áp lực gió tĩnh
Công thức tính thành phần gió động do quán tính: Lực gió động tính (công thức 4.3 – TCXD 229:1999)
![]()
Mj : khối lượng tập trung của phần công trình thứ j
ξi : hệ số động lực, ứng với dạng dao động thứ i
ψi : hệ số lực tham gia dao động thành phần, ứng với dạng dao động thứ i
(Công thức 4.5 – TCXD 229:1999)

yji : dịch chuyển ngang tỉ đối của phần công trình thứ j, ứng với dạng dao động thứ i
WFj : Lực gió xung tác dụng lên phần công trình thứ j, bằng áp lực gió xung x diện tích đón gió
Nhận xét: Công thức 4.3 & 4.5 phản ánh chỉ khi xảy ra hiện tượng cộng hưởng, thành phần gió xung (pulse) được tính đổi thành thành phần quán tính (thành phần gió động – dynamic).
3- Xem xét quy trình phân tích tải trọng gió tác dụng lên công trình dân dụng:
3.1 Xem xét các chỉ dẫn trong Tiêu chuẩn TCXD 229:1999
Các thuật ngữ hoặc chỉ dẫn được trình bày trong TCXD 229:1999 cần được phân tích cẩn thận nhằm tìm hiểu đúng về tải trọng gió động. Nội dung sau đây sẽ trích dẫn các điều khoản có thể gây nhầm lẫn hoặc có ý nghĩa xung đột với cơ sở lý thuyết về tải trọng gió. Chú ý: các dòng chữ in nghiêng màu xanh là được trích dẫn từ tiêu chuẩn này)
Điều 2.2: Thành phần động của tải trọng gió tác động lên công trình là lực do xung của vận tốc gió và lực quán tính do công trình gây ra. Ý nghĩa chữ “ và ” chỉ mang ý nghĩa định nghĩa, không bao hàm ý nghĩa tổng của 2 lực.
Điều 1.2: Thành phần động của tải trọng gió phải được kể đến khi tính toán các công trình tháp, trụ, (lược trích)…, các nhà nhiều tầng cao hơn 40m, …
Điều đáng chú ý là Thành phần động theo điều 2.2 là điều kiện bắt buộc để tính đến lực do xung của vận tốc gió (gió xung). Với giá trị chiều cao không đạt quy định > 40m, theo chỉ dẫn điều 1.2 sẽ dẫn đến lực gió xung cũng sẽ bị bỏ qua.
Lực gió xung này được chuyển thành lực quán tính (gió động do quán tính) khi tần số dao động cơ bản của công trình đủ bé (f1 < fL). Với giá trị chiều cao quy định > 40m, kinh nghiệm thực tế cho thấy nhiều công trình nhà dân dụng có chiều cao thấp hơn cũng có thể thỏa điều kiện f1 < fL, nhưng với quy định chiều cao này, ngay cả lực gió động (do quán tính) cũng bị bỏ qua. Cụ thể hơn chỉ dẫn Điều 1.2 đồng nghĩa với khái niệm đối với chiều cao công trình < 40m, công trình chỉ chịu tác dụng của gió tĩnh.
Quy định này dẫn đến khái niệm khá mơ hồ. Vấn đề có thể xảy ra là với công trình có chiều cao xấp xỉ 40m vẫn có thể có độ cứng đủ mềm dẻo để bị ảnh hưởng của sự dao động. Xét đến các ví dụ sau đây bằng cách dùng các công thức kinh nghiệm trong TCXD 229:1999
Xét nhà dân dụng có chiều cao H = 39.9 m (nhỏ hơn quy định), bề rộng nhà B = 10m. Số tầng nhà n = 14 tầng. Nhà bằng khung bê tông cốt thép toàn khối.
Công thức 1: Chu kỳ dao động tính T = α n
Hệ số α = 0.065
Chu kỳ dao động cơ bản T = 0.065 x 14 = 0.896 s → tần số f1 = 1 / T = 1.116 (Hz)
Công thức 2: Chu kỳ dao động tính
Hệ số μ = 0.09![]()
Chu kỳ dao động cơ bản T = 0.09 x 39.9 / 100.5 = 1.136 s → tần số f1 = 1 / T = 0.881 (Hz)
Xét công trình trong vùng áp lực gió II: tần số giới hạn fL = 1.3
Tham chiếu TCXD 229:1999 - Điều 3.5.1.2 khi áp dụng điều kiện tính gió động do quán tính, cả 2 cách tính tần số đều chứng tỏ công trình thỏa điều kiện mềm dẻo để tính đến lực quán tính do xuất hiện sự cộng hưởng (f1 < fL). Giá trị chiều cao quy định này có thể chứng tỏ không phù hợp với cơ sở lý luận về tác động gió.
Điều 3.5.1.2: So sánh tần số f1 với tần số giới hạn fL trong bảng 2. Nếu f1 > fL thì giá trị tiêu chuẩn của thành phần động của tải trọng gió lên các phần công trình được xác định theo điều 4.2. Nếu f1 < fL thì giá trị tiêu chuẩn của thành phần động của tải trọng gió được xác định theo điều từ 4.3 đến 4.8.
Trong đó, điều 4.2 (trích) thành phần động của tải trọng gió chỉ cần kể đến tác dụng của xung vận tốc gió (hết trích). Điều 4.3 (trích) thành phần động của tải trọng gió phải kể đến tác dụng của cả xung vận tốc gió và lực quán tính của công trình (hết trích). Theo cơ sở lý thuyết về tính tác động gió, như đã trình bày bên trên, thành phần động do quán tính là sự chuyển đổi từ thành phần lực do tác dụng của xung vận tốc gió. Do vậy, điều 4.3 dẫn đến khái niệm mơ hồ là thành phần động của tải trọng gió chính là tổ hợp của cả 2 thành phần lực do xung và lực quán tính.
Tác động của tải trọng gió lên các công trình dân dụng được trình bày như biểu đồ bên dưới, dựa trên cơ sở lý luận khoa học về tải trọng gió, áp dụng vào việc phân tích tải trọng gió theo TCVN.

BIỂU ĐỒ PHÂN TÍCH QUY TRÌNH TÍNH TÁC ĐỘNG CỦA TẢI TRỌNG GIÓ
Về khái niệm tần số dao động riêng thứ nhất f1:
TCXD 229:1999 vàTCVN 2737:1995 hầu như không đề cập đến dạng kết cấu không gian. Do vậy, một số vấn đề cần được diễn giải chi tiết.
Trong mô hình kết cấu không gian, phân tích động lực học kết cấu nhằm xác định tần số f / chu kỳ dao động T theo các phương. Các đáp ứng dao động theo các phương là độc lập và trực giao. Khi tính tải trọng gió động, dạng tải trọng phương ngang, tần số dao động theo các phương x, y phải được xem xét tương ứng và phù hợp thứ tự theo các giá trị tần số tăng dần. Ví dụ: tần số theo phương x lần lượt là f1x, f2x, f3x …theo thứ tự tăng dần. Tương tự cho phương y, các tần số dao động được sắp xếp lại theo thứ tự tăng dần phù hợp f1y, f2y, f3y, …
Đối với mô hình bất đối xứng, các giá trị tần số dao động theo thứ tự lần lượt sẽ khác nhau. Các phân tích tính toán tải trọng gió phải được phân tích độc lập theo mỗi phương. Số dạng dao động (tương ứng với số tần số ảnh hưởng) của mỗi phương được tính theo điều 4.4 (TCXD 229:1999). Trong các mô hình bất đối xứng, không loại trừ trường hợp áp dụng tải trọng gió xung cho phương cứng và thành phần gió quán tính theo phương yếu .
Điều 4.4. Các công trình hoặc bộ phận kết cấu có tần số dao dộng riêng cơ bản thứ s, thỏa mãn bất đẳng thức
![]()
thì cần tính toán thành phần động của tải trọng gió với s dạng dao động đầu tiên.
Tần số fL theo Bảng 2 (TCXD 209:1999)
Bảng 2: Giá trị giới hạn của tần số dao động riêng

Giá trị độ giảm lôga của dao động δ = 0.3 tương ứng với công trình bằng kết cấu bê tông cốt thép.
Tần số dao động riêng hoàn toàn lệ thuộc vào độ cứng kết cấu. Thông thường, độ cứng kết cấu càng lớn đối với công trình thấp tầng (f1 lớn) và ngược lại, kết cấu càng mềm dẻo (tần số thấp, f1 bé) cho các công trình càng cao tầng. Bảng 2 chứng tỏ đối với các vùng áp lực gió lớn (như vùng V, VI) ảnh hưởng động lực do gió là thực sự quan trọng đối với các công trình có độ cứng đáng chú ý (như 1.7 Hz - vùng VI hay 1.9 Hz – vùng V). Các tần số dao động riêng này hoàn toàn tương ứng với các công trình có chiều cao trung bình (< 40m). Điều này là sự mâu thuẫn khi gió động xét đến sự cộng hưởng giữa gió và kết cấu với điều 1.2 khi chỉ xét gió động cho công trình > 40m.
3.2 Nhận xét về cách áp dụng tính toán tải trọng gió theo TCVN
3.2.1 Quy định về chiều cao phân tích tải trọng gió
Các nhận xét sau đây dựa trên kinh nghiệm tham gia công tác thiết kế & thẩm kế. Các nhận xét cũng không thể tránh khỏi mang tính chủ quan do việc tiếp cận với các hồ sơ thiết kế trong phạm vi hạn chế.
Trong các thuyết minh tính toán kết cấu, việc phân tích tải trọng gió tác động thường được thực hiện:
• Công trình < 40m. Phân tích tải trọng gió tĩnh và không phân tích động lực công trình.
• Công trình > 40 m. Phân tích tải trọng gió tĩnh và gió động. Kết cấu thường được phân tích động lực học. Tuy nhiên, đa số các công trình thường có tần số dao động cơ bản f1 > fL nên gió động thường là thành phần động do quán tính. Điều này cũng đồng nghĩa, tải thành phần xung chỉ xét đối với công trình cao > 40m.
Các công trình khác (công trình tháp, trụ, ống khói, cột điện, thiết bị dạng cột, hành lang băng tải, các giàn giá lộ thiên…) không bị ràng buộc bởi điều kiện chiều cao. Các công trình này chỉ xét đến sự ràng buộc về tần số dao động riêng (bảng 2). Các giá trị theo bảng 2 phản ánh các tần số giới hạn thường rất lớn chứng tỏ chỉ khi các loại công trình này rất mềm dẻo mới tính đến thành phần động do quán tính. Điều này có nghĩa khi kết cấu các dạng công trình này đủ cứng (f1 > fL), công trình sẽ phải tính đến gió thành phần xung (?). Nếu các công trình này bắt buộc phải luôn tính gió xung thì vấn đề chiều cao tối thiểu để tính gió tĩnh, theo như lý luận về tải trọng gió, là khái niệm thực sự quan trọng và cần thiết.
3.2.2 Các giá trị các thành phần tải trọng gió
Các tính toán theo TCVN dựa trên áp lực gió tiêu chuẩn Wo thay vì dựa theo vận tốc gió như theo tiêu chuẩn các nước khác
• Tải trọng gió tĩnh Wj : đối với các công trình thấp tầng, tác động gió là tải trọng gió tĩnh thuần túy. Tải trọng ngang tác động lên công trình P1 = Wj x diện tích đón gió S
• Tải trọng gió xung Wpj : đối với các công trình cao tầng (> 40m), công trình có độ cứng theo quy định. Gió xung có giá trị bằng tích của gió tĩnh và tích của các hệ số. Trong mọi trường hợp, tích các hệ số < 1, do đó giá trị Wpj < Wj . Áp lực gió xung có giá trị tăng dần theo chiều cao, mặc dù mức độ tăng dần có khuynh hướng tăng rất chậm.
Tải trọng ngang tác động lên công trình P2 = Σ((Wj + Wpj) x diện tích đón gió Sj)
• Tải trọng gió động Wp(ji) : đối với các công trình cao tầng (> 40m), công trình có độ cứng thỏa điều kiện quy định. Gió động có giá trị trên cơ sở giá trị của gió xung:
> Có mức độ tăng dần theo chiều cao. Tại các tầng gần đỉnh, mức độ tăng khá nhiều; tại các tầng gần mặt đất, các giá trị thành phần lực quán tính giảm đáng kể. Điều này phản ánh qua giá trị dịch chuyển ngang tỉ đối tại vị trí các tầng của công trình
> Tổng giá trị lực động do quán tính > tổng giá trị lực gió xung
> Đáp ứng của kết cấu (chuyển vị , nội lực…) lớn hơn đáng kể so với kết cấu chỉ xét ảnh hưởng của gió xung
Tải trọng ngang tác động lên công trình ΣP3i = Σ(Wj x diện tích đón gió Sj) + ΣWp(ji)
3.2.3 Các vấn đề về mô hình phân tích
Các tiêu chuẩn Việt Nam hiện hành hầu như không đề cập đến khái niệm mô hình trong vấn đề phân tích kết cấu.
• Mô hình khi phân tích kết cấu: trong các Thuyết minh tính toán kết cấu, mô hình được ngầm thừa nhận là mô hình đàn hồi.
> Khi kết cấu chịu tác động của gió tĩnh và thành phần động do xung: đáp ứng của kết cấu được xác lập như khi kết cấu chịu tác động gió tĩnh (đáp ứng tĩnh)
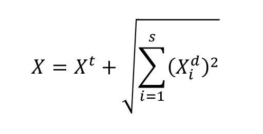
> Khi kết cấu chịu tác động của gió tĩnh và thành phần động do quán tính: đáp ứng của kết cấu được xác lập theo quy tắc SRSS. Đáp ứng (chuyển vị, nội lực) cực trị do gió động theo công thức 4.13 (TCXD 229:1999)

Trong đó:
X : đáp ứng sau cùng của kết cấu do gió
Xt : đáp ứng của kết cấu do gió tĩnh
Xid : đáp ứng của kết cấu do thành phần động thứ i của tải gió động gây ra
s : số dạng dao động tính toán
Đáng chú ý, trong các tiêu chuẩn nước ngoài mô hình phân tích thường là mô hình thực (realistic)
• Mô hình khi phân tích ổn định: khái niệm này không được đề cập đến trong TCXD 229:1999. Tuy nhiên có thể tham khảo tiêu chuẩn TCVN 5574:2018, mô hình phân tích là mô hình cứng (rigid model). Đồng thời, do tính chất đổi dấu của các giá trị hàm dạng, các tác động của các lực gió động thành phần có khuynh hướng làm tăng mức độ ổn định của công trình. Do vậy các tính toán thiên về an toàn thường chỉ xét đến thành phần lực của dạng dao động thứ nhất. Tổng lực gió tác động khi đó được tính là tổng trị tuyệt đối của thành phần lực tĩnh và lực quán tính.
4- Có cần thiết cho một đề xuất về quy trình phân tích tải trọng gió ?
Các trình bày về lý luận tải trọng gió như trên cho thấy sự diễn đạt khá mơ hồ về chiều cao công trình quy định và tần số dao động riêng giới hạn. Quy trình phân tích tải trọng gió trong các thuyết minh báo cáo tính toán cho thấy mức độ tăng đột ngột và đáng kể, bao gồm cả mức độ tuyệt đối cũng như tương đối, cho các công trình có chiều cao xấp xỉ 40m. Quy trình tính cũng hạn chế đáng kể việc phân tích động lực cho các công trình bất đối xứng có tỉ lệ chiều dài nhà / bề rộng nhà đáng kể. Trong các dạng công trình bất đối xứng như vậy, độ cứng công trình theo phương yếu là bé đáng kể so với phương cứng, khi đó ảnh hưởng cộng hưởng theo phương yếu là khó tránh khỏi.
Dựa trên cơ sở lý luận tải trọng gió tăng dần theo chiều cao công trình, mức tăng theo mức tăng của vận tốc gió rối khi công trình đủ cao, và mức tăng trở lên rất lớn khi công trình xảy ra cộng hưởng dao động
Một đề xuất về quy trình tính tải trọng gió như sau cần được xem xét:
• Đối với công trình thấp tầng (chiều cao H <= 15m), tải trọng gió là tải trọng gió tĩnh
• Đối với công trình trung bình (15m < H <= 40m), tải trọng gió là tải trọng gió tĩnh + tải gió xung. Đối với các công trình dạng bất đối xứng với tỉ lệ chiều dài / bề rộng đáng kể, việc phân tích động lực kết cấu là cần thiết. Khi đó có thể xét đến thành phần gió động (do quán tính) khi tần số dao động riêng của phương đang xét thỏa các quy định như theo tiêu chuẩn.
• Đối với công trình cao tầng (H > 40m), việc phân tích động lực kết cấu là bắt buộc. Khi đó thành phần gió động (do quán tính) là bắt buộc phải xét đến. Tải trọng gió là tải trọng gió tĩnh + tải gió động. Trường hợp ngoại lệ sẽ được xét đến khi công trình đủ cứng, ít nhất là 1 trong 2 phương của công trình đang xét, tải trọng gió bằng tổng của tải trọng gió tĩnh + tải trọng gió thành phần xung.
Trong thực tế hiện nay, việc áp dụng rộng rãi máy tính và rất nhiều phần mềm máy tính phù hợp, việc áp dụng quy trình tính toán tải trọng gió động như đề xuất trên là vấn đề rất đơn giản.
Lưu ý rằng chiều cao tính gió tĩnh 15m dễ tìm thấy trong nhiều tài liệu khoa học các nước trên thế giới.
LỜI KẾT:
Nội dung bài viết này chỉ nhằm ghi lại các trí nhớ về kiến thức khoa học. Tác giả không có ý định khuyến nghị bất kỳ ai áp dụng các tính toán tải trọng gió bằng cách này hay cách khác. Thay vào đó người viết cho rằng nên áp dụng cách tính và quy trình đã được công nhận rộng rãi tại khu vực, phù hợp với kiến thức và suy nghĩ của các bộ phận, công ty có trách nhiệm và liên quan đến dự án đang thực hiện. Sau cùng, người viết cũng hy vọng rằng, các thành viên, bộ phận liên quan đến dự án không sử dụng nội dung bài viết này như một tiêu chuẩn kép, tạo ra một quan điểm có thể như này, có thể như thế khác, tạo ra sự gián đoạn hay chậm trễ đến hoạt động của dự án.
Ở một góc nhìn khác, bài viết cho thấy rõ ràng sự cần thiết cấp bách của việc áp dụng tiêu chuẩn mới TCVN 2737:2020, mà không rõ vì lý do nào đó, mà đến bây giờ (tháng 4/2023) vẫn chưa được chính thức áp dụng.
Trân trọng cám ơn các đọc giả đã đọc bài viết này.
Tài liệu tham khảo […]
Phần mềm liên quan: Tải trọng gió tĩnh, tải trọng gió xung, tải trọng gió động
TP HCM, 29/04/2023
Th.Ks. Lê Hoan Cường
- XEM XÉT CÁC QUI TRÌNH TÍNH CỐT THÉP CÁC CẤU KIỆN BÊ TÔNG CỐT THÉP
- SAI LẦM TRONG THIẾT KẾ KẾT CẤU CÔNG TRÌNH CHỊU ĐỘNG ĐẤT. P.2
- VỀ LIÊN KẾT CHÂN CỘT THÉP
- SAI LẦM TRONG THIẾT KẾ KẾT CẤU CÔNG TRÌNH CHỊU ĐỘNG ĐẤT. P.3
- KINH NGHIỆM THIẾT KẾ TƯỜNG CHẮN
- MÓNG CỌC & ĐÀI CỨNG ? ĐÀI MỀM ?
- KHE PHÂN CÁCH TRONG KẾT CẤU CÔNG TRÌNH DÂN DỤNG
- DÀNH CHO NGƯỜI BẮT ĐẦU NGHIÊN CỨU VỀ THIẾT KẾ KHÁNG CHẤN
- THIẾT KẾ KẾT CẤU LIÊN HỢP THÉP & BÊ TÔNG CỐT THÉP
- NHỮNG SAI LẦM CẦN TRÁNH TRONG THIẾT KẾ KẾT CẤU CÔNG TRÌNH


Trở về




