TÍNH CỐT KÉP CHO DẦM BÊ TÔNG CỐT THÉP - QUÁ ĐƠN GIẢN
TÍNH CỐT KÉP CHO DẦM BÊ TÔNG CỐT THÉP - QUÁ ĐƠN GIẢN
Kinh nghiệm chia sẻ
Tóm tắt: Trong tính toán thiết kế thực tế, tính toán cốt kép cho kết cấu dầm bê tông cốt thép chịu uốn là bài toán ít khi được áp dụng. Do trong yêu cầu thiết kế, kết cấu không chỉ phải đảm bảo điều kiện chịu lực mà còn phải đảm bảo điều kiện về biến dạng. Thông thường, để bảo đảm điều kiện kết cấu chuyển vị trong mức cho phép theo Tiêu chuẩn thiết kế, tiết diện kết cấu thường đủ lớn để cho việc tính cốt thép trong dầm thường chỉ áp dụng công thức tính cốt đơn.
Trong thực hành tính toán cốt kép, các công thức tính toán được giới thiệu trong các giáo trình và ngay cả trong tiêu chuẩn thiết kế TCVN 5574:2012-Kết cấu BTCT – Tiêu chuẩn thiết kế, thực sự là quá phức tạp và rối rắm, dựa trên các hệ số khác nhau làm khó nhận biết ý nghĩa của công thức tính
Bài viết sau đây nhằm trình bày phương pháp tính cốt thép dầm, cho cả tính cốt đơn & cốt kép, một cách đơn giản nhất.
Có cần thiết phải tính toán cốt kép?
Tính toán cốt thép (theo các công thức thường dùng) cho 2 trường hợp tính cốt đơn và cốt kép dựa trên 2 cách tính hoàn toàn khác nhau với các công thức khác nhau được áp dụng. Do đó, thông thường, cách tính cốt đơn được áp dụng trước, sau đó, kiểm tra cách tính xem có phù hợp với công thức tính cốt đơn, nếu không, sẽ tính lại với công thức tính cốt kép. Việc kiểm tra này thường bị bỏ qua, hoặc kiểm tra dựa trên hàm lượng cốt thép tính toán
Việc áp dụng công thức tính cốt thép dầm thường dẫn đến các sơ suất không mong muốn
1- 1- Tính toán như cốt đơn nhưng bố trí cốt thép như cốt kép
2- 2- Không phân biệt được khi cốt thép làm việc như cốt kép. Điều này thường xảy ra khi tính toán cốt thép dầm theo qui trình tính theo hướng tìm tiết diện cốt thép yêu cầu. Việc sơ đồ tính tiết diện cốt thép đơn khác nhiều so với việc bố trí cốt thép thực tế thường dẫn đến bài toán cốt kép, mà khi đó, khả năng chịu lực của tiết diện có thể nhỏ hơn so với tính toán.
3- 3- Việc kiểm tra sự phù hợp công thức tính phù hợp dựa trên hàm lượng cốt thép thường không bảo đảm tính chính xác, do công thức tính hàm lượng thép dựa trên bề rộng dầm b và chiều cao tính ho (không phải dựa theo chiều cao tiết diện h).
Quy trình tính cốt thép dầm theo hướng xác định tiết diện thép theo yêu cầu
Qui ước chung về đơn vị sử dụng: áp dụng theo TCVN 5574:2012,
- Lực KN, momen KNm
- Kích thước tiết diện mm
- Cường độ tính toán MPa (N/mm2)
- Các đại lượng khi áp dụng vào công thức tính sẽ được qui đổi tương ứng
Tính toán kết cấu theo trạng thái giới hạn về cường độ
Khi tính dầm chịu uốn, quy trình tính cốt thép dầm như sau đây được áp dụng phổ biến:



Sơ đồ nội lực & ứng suất trong tiết diện khi tính dầm chịu uốn bố trí cốt kép
(các ký hiệu như giải thích bên trên)
Nhận xét: Quy trình tính toán trên có nhiều hạn chế
- Tính toán sử dụng nhiều hệ số trung gian, tăng số lượng tính toán, không diễn giải được ý nghĩa của công thức tính.
- Sử dụng giả thiết khoảng cách ho khi tính toán, do đó có thể cần thiết phải giải lặp.
- Sau khi tính toán phải bố trí cốt thép lại, đây là công tác tốn rất nhiều thời gian.
- Kết quả tính toán không phản ánh được khả năng chịu uốn của tiết diện, do đó không thể đánh giá kết cấu là hợp lý hay tối ưu.
- Khó kiểm tra kết quả bảng tính với bản vẽ kết cấu.
Quy trình tính cốt thép dầm theo hướng xác định và đánh giá khả năng chịu lực của cấu kiện:
Quy trình sau đây giúp kỹ sư thiết kế đơn giản hóa tính toán cốt kép.
Các công thức tính cốt thép dầm
Khả năng chịu lực của tiết diện chữ nhật
- Tính theo khả năng chịu lực của vùng nén của tiết diện
M ≤ MC = Rbbx (h0 – 0.5x) + RscA's (h0 - a') (1) (công thức 28-TCVN 5574)
- Tính theo khả năng chịu lực của vùng kéo (thép chịu kéo) của tiết diện
M ≤ MT = RsAs (h0 – 0.5x) (2)
Các ký hiệu như đã giải thích.
Như vậy khả năng chịu lực lớn nhất của tiết diện là
M = min(MC , MT) = min(Rbbx(h0 – 0.5x) + RscA's(h0 - a'), RsAs(h0 – 0.5x)) (3)
Giả thiết bố trí cốt thép cho trước với số thanh thép n, đường kính thanh thép d, lớp bê tông bảo vệ c, tính trước, tiết diện cốt thép As
![]()
khoảng cách a tính trước, khi bố trí 1 lớp thép
![]()
khi bố trí nhiều lớp thép, dễ dàng tính lại a
Tương tự khi tính a’ cho cốt thép chịu nén
Xác định được ho
![]()
Tương tự cho tính cốt thép chịu nén, tiết diện A’s và a’
Như vậy, x là chiều cao vùng nén và là ẩn số duy nhất, tính bởi công thức
![]()
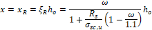
Chiều cao vùng nén giới hạn khi cấu kiện chịu uốn
![]()
Tính khả năng chịu uốn [M] của tiết diện chữ nhật
Điều kiện tính ![]()
Đặt xo = min(x , xR)
o Khi biết trước As, A’s :
Tính theo công thức (3)
[M] = min(MC , MT) = min(Rbbxo(h0 – 0.5xo) + RscA's(h0 - a'), RsAs(h0 – 0.5xo)) (3a)
o Khi biết trước As, cần tìm A’s :
Công thức (3a) rút gọn
[M] = RsAs (h0 – 0.5xo) (4)
Viết đầy đủ
[M] = RsAs (h0 – 0.5 min(x , xR))
![]()
(5)
Khi xo = x thì A’s = 0 và A’s ≥ 0
Nhận xét:
Hoàn toàn có thể dùng công thức (3a) cho trường hợp biết trước cốt thép chịu nén, hoặc công thức (4) khi không cần biết trước cốt thép chịu nén, ta dễ dàng xác định được khả năng chịu lực của tiết diện.
Công thức tính cũng dễ dàng biến đổi để áp dụng cho các tiết diện chữ T, tiết diện tròn…
Quy trình tính toán

So sánh 2 quy trình tính cốt thép dầm
Quy trình tính cốt thép dầm theo hướng xác định và đánh giá khả năng chịu lực của cấu kiện có nhiều ưu điểm hơn so với Quy trình tính cốt thép dầm theo hướng xác định tiết diện thép theo yêu cầu như sau:
- Các công thức phản ánh ý nghĩa rõ rệt sự làm việc của tiết diện BTCT
- Công thức xác định khả năng chịu uốn của tiết diện - công thức (3a) minh họa dễ dàng ý nghĩa bố trí càng nhiều thép thì khả năng chống uốn của tiết diện tăng lên. Tuy nhiên, trong thiết kế dầm, bài toán tính chịu cắt cũng có ý nghĩa rất quan trọng ảnh hưởng đến việc chọn tiết diện.
- Công thức tính đơn giản hơn
- Giảm thiểu các tính toán trung gian
- Kết quả tính toán trực quan, dễ dàng đánh giá kết quả thiết kế
- Dễ dàng so sánh, kiểm tra kết quả tính toán với các hình vẽ trên bản vẽ thể hiện
- Dễ dàng thay đổi các tham số cốt thép khi cần thiết cho việc tính lặp tìm kết quả thiết kế tối ưu.
- Kết quả tính toán chính xác hơn
- Giảm thiểu sự đánh giá chủ quan của người tính, tránh các sai sót có thể xảy ra do việc bố trí cốt thép sau khi tính.
- Dễ dàng tính toán kể đến hệ số điều kiện làm việc của bê tông mà không làm tăng khối lượng tính toán
Lời kết:
Trong thực hành tính dầm, sàn chịu uốn, do ít khi tính đến cốt kép nên người tính chỉ cần áp dụng công thức (4). Riêng các kỹ sư hay sử dụng phần mềm Excel, cũng sử dụng công thức (4) và cần thiết áp dụng công thức (5) để có thể tự động tính ra cốt thép chịu nén mà không nhất thiết phải quan tâm đến trường hợp cụ thể. Tất nhiên, khi dùng Excel, khi xảy ra trường hợp tính cốt kép, việc thể hiện thông báo là cần thiết đối với người thiết kế nhằm có thể thay đổi tiết diện tính nếu việc đó là cần thiết.
Cho dù việc tính cốt kép trong các cấu kiện chịu uốn là ít khi xảy ra, nhưng việc áp dụng quan điểm khoa học về tính cốt kép lại là nền tảng lý luận cho các phương pháp tính kết cấu nhiều bộ phận khác, có thể kể như:
- - Tính cấu kiện cột vách
- - Tính kết cấu dầm sàn bê tông dự ứng lực
- - Tính dầm sàn liên hợp thép
Sau cùng, qui trình tính toán cấu kiện bê tông cốt thép bằng cách đánh giá khả năng chịu lực của cấu kiện là nền tảng cho tính toán thiết kế kết cấu tất cả các loại kết cấu, không chỉ cho kết cấu bê tông cốt thép.
Dựa trên qui trình thiết kế kết cấu theo khả năng chịu lực, cdfdesign góp phần tạo ra bộ sản phẩm thiết kế kết cấu CDFStructure nhằm cho công tác thiết kế kết cấu xây dựng ngày càng phát triển tốt đẹp hơn
Tài liệu tham khảo
Xin trân trọng các ý kiến đóng góp.
TP HCM, ngày 06/01/2018
Th.s Ks. Lê Hoan Cường
Phần mềm liên quan: Các phần mềm tính cấu kiện bê tông cốt thép
Bài viết liên quan: Qui trình tính kết cấu bê tông cốt thép
Kinh nghiệm chia sẻ liên quan: Xem xét các qui trình tính cốt thép các cấu kiện bê tông cốt thép
- XEM XÉT CÁC QUI TRÌNH TÍNH CỐT THÉP CÁC CẤU KIỆN BÊ TÔNG CỐT THÉP
- SAI LẦM TRONG THIẾT KẾ KẾT CẤU CÔNG TRÌNH CHỊU ĐỘNG ĐẤT. P.2
- VỀ LIÊN KẾT CHÂN CỘT THÉP
- SAI LẦM TRONG THIẾT KẾ KẾT CẤU CÔNG TRÌNH CHỊU ĐỘNG ĐẤT. P.3
- KINH NGHIỆM THIẾT KẾ TƯỜNG CHẮN
- MÓNG CỌC & ĐÀI CỨNG ? ĐÀI MỀM ?
- KHE PHÂN CÁCH TRONG KẾT CẤU CÔNG TRÌNH DÂN DỤNG
- DÀNH CHO NGƯỜI BẮT ĐẦU NGHIÊN CỨU VỀ THIẾT KẾ KHÁNG CHẤN
- THIẾT KẾ KẾT CẤU LIÊN HỢP THÉP & BÊ TÔNG CỐT THÉP
- NHỮNG SAI LẦM CẦN TRÁNH TRONG THIẾT KẾ KẾT CẤU CÔNG TRÌNH


Trở về




